316 Stainless Steel Phase Diagram

316 Stainless Steel Phase Diagram

  • Category : Phase Diagram
  • Post Date : January 26, 2026
316 Stainless Steel Phase Diagram 9 out of 10 based on 90 ratings. 20 user reviews.

316 Stainless Steel Phase Diagram

Stainless Steels

Stainless Steels

Stainless Steel Ternary Phase Diagram

Stainless Steel Brazing On Graphite Fixtures

What Is The Difference Between High Carbon Steel And

Martensitic Stainless Steel For Knife Applications Fe

A Short Day August 2010

Uddeholm Aeb

Multicomponent Phase Diagram Of Lean Duplex Stainless

Austenitic Stainless Steel

Martensitic Stainless Steel For Knife Applications Fe

Stainless Steel

Ferritic Stainless Steel

The Steel Phase Diagram

Metals

Fe

Influence Of Alloying Elements On Austenite

Figure 2 From Microstructure Evolution And Solidification

Martensitic Stainless Steel For Knife Applications Fe

Material Technology

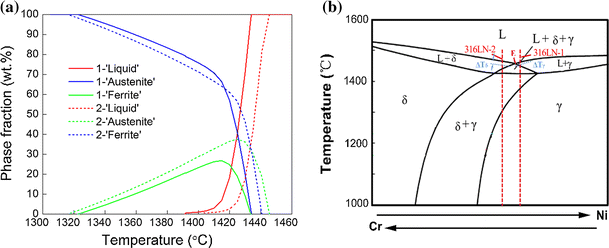
Microstructural Evolution In 316ln Austenitic Stainless

Material Technology

Martensitic Stainless Steel For Knife Applications U2013 Part

Why Are Ferritic And Austenitic Stainless Steel Not Heat

Download The Brain Of The Common Marmoset Callithrix

Article The Schaeffler And Delong Diagrams For Predicting

Microstructure And Chemical Compositions Of Ferritic

Martensitic Stainless Steel For Knife Applications Fe

Martensitic Stainless Steel For Knife Applications Fe

Materials

Can Quantum Mechanics Explain Homeopathy Can Quantum

Nickel In Steels U2013 Ispatguru

Dss 2205 Steel

Ttt Diagram Of Type Aisi 316 Austenitic Stainless Steel

Article Duplex Stainless Steels

Heat Treating And Cryogenic Processing Of Knife Blade

Why Can U0026 39 T Graphene Be Melted With Steel To Produce A

Equilibrium Phases In A 22cr Duplex Stainless Steel As A

The Fe

Carpenter

Alloys - Do U0026quot Non-iron Steels U0026quot Exist

Precipitation Diagram Of Uns S31803duplex Stainless Steel

Steel Is The Heart Of The Knife U2013 Terrier Blades

Ternary Diagram

Physical Chemistry Phase Diagram 3 Components

Lean Duplex Stainless Steel Total Materia Article

Article The Schaeffler And Delong Diagrams For Predicting

Diagram 316 Stainless Steel Phase Diagram

  • Download 316 Stainless Steel Phase Diagram

    draw.io is free online diagram software for making flowcharts, process diagrams, org charts, UML, ER and network diagrams

    Open and edit diagrams online with Draw.io, a free diagram software supporting various formats and diagram types.

    Create a new diagram, or open an existing diagram in your new tab. To create a new diagram, enter a Diagram Name and click the location where you want to save the file.

    Create flowcharts and diagrams online with this easy to use software.

    Create and edit diagrams with draw.io, a free diagramming tool that integrates seamlessly with Office 365.

    app.diagrams.net

    Easily import diagrams from Lucidchart to diagrams.net or draw.io with this simple tool.

    Access and integrate Google Drive files with Draw.io using the Google Picker tool for seamless diagram creation.

    Clearing Cached version 29.3.4... OK Update Start App

    confEmbedUpload=For a better editing experience, please use the regular draw.io macro to insert a blank diagram, then from (File menu → Import From → Device...) select the file you want to upload and embed.

    3 way switch,3 way switch wiring,3 way switch wiring diagram pdf,3 way wiring diagram,3way switch wiring diagram,4 prong dryer outlet wiring diagram,4 prong trailer wiring diagram,6 way trailer wiring diagram,7 pin trailer wiring diagram with brakes,7 pin wiring diagram,alternator wiring diagram,amp wiring diagram,automotive lighting,cable harness,chevrolet,diagram,dodge,doorbell wiring diagram,ecobee wiring diagram,electric motor,electrical connector,electrical wiring,electrical wiring diagram,ford,fuse,honeywell thermostat wiring diagram,ignition system,kenwood car stereo wiring diagram,light switch wiring diagram,lighting,motor wiring diagram,nest doorbell wiring diagram,nest hello wiring diagram,nest labs,nest thermostat,nest thermostat wiring diagram,phone connector,pin,pioneer wiring diagram,plug wiring diagram,pump,radio,radio wiring diagram,relay,relay wiring diagram,resistor,rj45 wiring diagram,schematic,semi-trailer truck,sensor,seven pin trailer wiring diagram,speaker wiring diagram,starter wiring diagram,stereo wiring diagram,stereophonic sound,strat wiring diagram,switch,switch wiring diagram,telecaster wiring diagram,thermostat wiring,thermostat wiring diagram,trailer brake controller,trailer plug wiring diagram,trailer wiring diagram,user guide,wire,wire diagram,wiring diagram,wiring diagram 3 way switch,wiring harness

    close